摘要:為了在心梗上對聚脲交聯改性后的丙烯酸酯乳液(PUA)和純丙乳液(PA)進行比較,文章以丙酮為溶劑,通過端氨基聚醚和甲苯二異氰酸酯的縮合反應合成了端異氰酸酯基聚脲預聚物,由于丙酮與胺基的可逆縮合反應,降低了胺基與異氰酸酯基反應的活性,從而可以更好地控制反應速度,降低副反應的發生幾率。聚脲預聚體經丙烯酸羥乙基脂雙鍵封端制備了含有2個雙鍵的聚氨酯脲大單體,以其為外交聯劑,通過與甲基丙烯酸甲酯、丙烯酸丁酯的乳液共聚反應制備了聚氨酯脲改性的純丙彈性乳液,對乳液涂膜進行了FT—IR、DSC和TGA的表征。研究表明:PUA涂膜比PA涂膜具有更好的熱穩定性、機械性能、耐低溫性以及耐溶劑性。 關鍵詞:聚脲,丙烯酸樹脂,交聯,改性,彈性乳液 聚脲是多異氰酸酯和端胺基聚醚(或者聚酯)發生化學反應生成脲鍵,而聚氨酯則是多異氰酸酯與端羥基聚醚(或者聚酯)發生化學反應生成氨酯鍵。由于胺較醇具有更高的親核性,聚脲的合成不需要催化劑來加快化學反應。聚脲體系中的脲鍵較聚氨酯體系中的氨酯鍵可以形成更高密度的氫鍵,使其較聚氨酯具有更好的熱性能和抗高pH性[1]。此外,聚氨酯和聚脲最大的優勢是極強的耐磨性和耐化學性,但也有耐高溫性能不佳、耐水性差、耐老化性差等缺點。而丙烯酸酯聚合物具有較好的耐水性、耐候性和耐戶外老化性,但存在硬度大、不耐溶劑等缺點[2]。因此聚氨酯和聚脲與丙烯酸酯聚合物在性能上具有互補性。聚氨酯改性的丙烯酸酯乳液的合成已經多有報道[3-4],但是聚脲改性的丙烯酸酯乳液合成方面則鮮有報道。 鑒于此,本實驗利用經雙鍵封端后的聚脲預聚體作為交聯劑對丙烯酸酯乳液進行改性,制備交聯的復合彈性乳液。利用聚脲和丙烯酸酯性能上的互補性,從而可用聚脲一丙烯酸酯復合乳液配制性能優異的水性涂料。同時實驗過程中避免了有機溶劑的使用,大大降低了有機溶劑對乳液性能的影響及對環境的污染。通過聚脲本身的化學交聯和氫鍵所形成的物理交聯作用,顯著提高了復合乳液的成膜性及涂膜的彈性和機械性能。
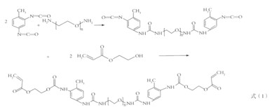
1實驗部分 1.1試劑 2,4-甲苯二異氰酸酯(TDI):天津市福晨化學試劑廠;過硫酸鉀(KPS):天津市化學試劑三廠;辛基酚聚氧乙烯醚(OP-10):天津市河東區紅巖試劑廠;丙烯酸丁酯(BA):天津市光復精細化工研究所;聚醚二胺(AD-2000)、丙酮、丙烯酸羥乙基酯( HEA)、甲基丙烯酸甲酯(MMA)、十二烷基硫酸鈉( SDS)、碳酸氫鈉(NaHC03):天津市博迪化工有限公司,所用試劑均為分析純。 1.2實驗儀器 NEXUS 470FT-IR紅外光譜儀:美國Nicolet公司;美國TAQ-10差示掃描量熱儀;PERKIN ELMER型熱重分析儀;WDW-10微機控制電子萬能試驗機:濟南天辰機器有限公司。 1.3實驗步驟 首先將2,4-TDI和真空脫水后的AD - 2000分別用適當的丙酮溶解1.5 h,將溶解后2,4- TDI倒入四口瓶水浴加熱到
首先對MMA和BA進行減壓蒸餾除去阻聚劑,然后再真空干燥2h,干燥溫度 將乳液在聚四氟乙烯板上流延成膜,先在室溫下干燥3d,然后放入真空干燥箱中,在 1.4性能測試 室溫下在離心機中以4000r/min運轉15min,立即觀察乳液是否有分層聚沉的情況,主要考察其機械穩定性。 將真空干燥后的膜剪成2cm×2cm小方塊,稱質量為ml的乳膠膜,浸入去離子水中,24 h后取出用濾紙揩去表面水,稱質量m2,吸水率可用式(2)計算。 吸水率(%)=[(m2 -ml)/ml]x100% 式(2) 將反應結束后的濾出凝膠用去離子水洗凈后,110℃干燥至恒質量,稱量。 采用DWD-10A型電子萬能試驗機測定拉伸強度和斷裂伸長率,測試溫度為 紅外光譜分析采用美國Nicolet-NEXUS 470傅里葉紅外光譜儀。 采用美國TAQ -10差示掃描量熱儀測定Tg。 用PERKIN ELMER型熱重分析儀(TCA)對膜進行熱分析。溫度范圍0~ 2結果與討論 2.1聚脲預聚體及交聯大單體的制備 由于胺較醇具有更高的親核性,所以胺與異氰酸酯基反應活性比醇要大得多,又由于其反應劇烈放熱,如果不控制反應速度,溫度瞬時升高會造成異氰酸酯基的交聯反應而發生凝膠化等副反應,所以在聚脲預聚體合成的過程中,需要加入某種溶劑和延遲劑,不僅能夠放慢反應速度而且能夠降低體系的黏度,考慮到溶劑不能與反應物發生化學反應、溶劑的沸點及揮發速度、稀釋效果及成本等因素,最終選用丙酮作為溶劑,因為其低毒且易揮發,更重要的是胺能和酮發生可逆縮合生成不穩定的酮亞胺中間產物[見式(3)],從而起到了稀釋溶劑和延遲反應的雙重作用。
式(3)聚脲預聚體合成后,再用HEA對其進行封端,這時HEA中的羥基和剩余的異氰酸酯基反應生成了氨酯鍵,所以生成的交聯大單體中既具有脲鍵又具有氨酯鍵。由于脲鍵較氨酯鍵可以生成更高密度的分子間氫鍵,因此聚氨酯脲改性比純聚氨酯改性可以提高體系的耐熱性和交聯密度,從而賦予彈性乳液更高的彈性、耐水性和耐熱性。所以聚氨酯脲交聯大單體比純聚氨酯對丙烯酸酯的交聯改性在性能上更具有優勢。 為了證明異氰酸酯基反應完全及封端成功,對封端后的聚脲預聚體進行了紅外分析,結果見圖1。
由圖1可見,在3354.2cm-1左右處有強吸收,而在3460—3497 cm-1內吸收峰很弱,這說明在脲基上的-NH鍵大部分已經氫鍵化;在l 724.4cm-1處,出現的是C=0雙鍵吸收峰;在l 681.9 cm-1有1個吸收峰,這是由于羰基連著2個-NH基團,形成雙齒的氫鍵的結果;另外在1539.2 cm-1處是CO-N-H健的吸收峰;譜圖上并未出現-NCO的特征吸收峰(2280~ 2.2彈性乳液涂膜的紅外分析 彈性乳液涂膜的紅外譜圖見圖2。 由圖2可見,在3444.2 cm-1處出現的是N-H鍵的伸縮振動吸收峰;在2960.2 cm-1和2873.4 cm-1處有較明顯的C-H鍵伸縮振動吸收峰;在1729.8cm-1處是C=0的伸縮振動吸收峰;在1120.4 cm-1出現MMA的酯鍵特征峰;在1166.7cm-1處是丁酯基中的C-O-C不對稱伸縮振動峰;譜線在842.7cm-1處出現聚丙烯酸酯的特征峰;并且原來在1600.9 cm-1處的C -C雙鍵吸收峰完全消失,說明封端型的聚脲與MMA和BA共聚過程中,端基上的C -C雙鍵與MMA和BA發生接枝共聚,形成了聚氨酯脲/丙烯酸酯的復合乳液(簡稱PUA)。
2.3乳液涂膜的DSC分析 乳液涂膜的DSC曲線見圖3
聚脲分子鏈由化學性質明顯不同的軟段和硬段組成,由于軟硬鏈段的熱力學不相容性,它們會產生微觀相分離,在聚合物基體內部形成微相區。由圖3可知,曲線光滑,說明聚脲的微相分離結構被完全破壞,不同的組分有很好的相容性[8]。改性乳液涂膜的Tg=-3.41℃,該涂膜具有較好的耐低溫性,可以在建筑涂料中得到應用。 2.4乳液涂膜的TGA分析 乳液涂膜的熱重曲線見圖4。 由圖4可見,PA和PUA涂膜的失質量率為10%時,相應的溫度分別為 2.5涂膜的耐水性和耐溶劑性 室溫環境下,將PA以及聚氨酯脲改性的純丙彈性乳液的涂膜在以下溶劑中浸泡24 h,其耐溶劑性如表1所示。
從表1中可以看出,PUA的吸水率為16.5%,大于PA的吸水率,但PUA涂膜的耐溶劑性明顯優于PA,改性效果顯著。 2.6 PUA涂膜斷裂伸長率的測定 采用DWD-10A型電子萬能試驗機在不同溫度下對PUA涂膜的斷裂伸長率進行了測定,如圖5所示。
由圖5可見,PUA涂膜在 2.7涂膜各項主要性能測試 PUA的各項主要性能見表2。
3結語 本研究采用聚氨酯脲大單體作為交聯劑對純丙彈性乳液進行改性制備復合彈性乳液,其乳液涂膜具有較好的拉伸強度和彈性延伸率。在此條件下制得的PUA復合彈性乳液凝膠量少,成膜性好,并有效地降低了玻璃化溫度;耐熱性及耐溶劑性都比純丙乳液有顯著的提高。該乳液在建筑涂料行業具有很廣泛的應用發展前景。 |








