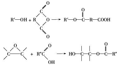
(二)二氧化雙環戊二烯的固化及應用 (1)Unox 207的固化環氧化合物UD-OX 207在沒有引發劑存在下與酸酐反應是非常慢的,它不像雙酚A環氧樹脂中因分子鏈內有羥基而反應很快。
但加入少量醇后立即促進其反應。
如圖3-1所示,35g Unox 207(包括0.4mol酸酐/環氧當量)混合物,在不加催化劑下于熱空氣(維持110℃)中循環,這個反應非常慢,在19h內不能凝膠化,但加了三甲羥基丙烷(見配方1)則大量釋熱(可用示差熱分析法測定)5h便凝膠化了,如果添加少量的芐基二甲胺或氯化物則反應速度更快,加入多元醇可起到催化和增加交聯密度的作用。
把由Unox 207和順丁烯二酸酐及添加一定量的引發劑三甲羥基丙烷C2H5C(CH2OH)3組成的熱固性樹脂加熱到50℃即為一個流動狀的流體,在80℃凝膠化,再在120℃、160℃及200℃分別交聯6h,然后再在260℃循環空氣下老化25h,得到圖3-2的結果,表明每環氧當量用0.3~0.5mol酸酐得到的樹脂性能最好。但若環氧基的開環完全依靠與酸酐作用而生成酯鍵,則理論上每個環氧基需要消耗1mol酸酐,而二氧化雙環戊二烯應消耗2mol酸酐,但從圖3-2結果看,僅其半量即可獲得優良性能的塑料,這說明環氧基的開環除了與酸酐形成酯鍵外,形成醚鍵的開環也起著重要的作用:
該反應在有機酸(RCOOH)存在時而加速。 對于多元醇的用量方面。鄧先模、黃志鏜做了實驗,他們是用甘油代替三羥甲基丙烷,試驗結果如表3-3,圖3-3所示。由此可見羥基當量用環氧當量的0.15~0.3為宜。
國外選用熱穩定性最好,酸酐用量較多的最佳配方如下。
按上述配方在60℃時液體黏度為0.1Pa·s,像清水一樣,其25℃下適用期為1年以上,固化時先在80℃凝膠化,然后分別在120℃、160℃、200℃固化6h,然后再在260℃老化25h,即得耐熱性在300℃以上的塑料,由于使用黏度低,可廣泛地用于澆鑄,做成各種形狀的鑄件。用于浸漬,很容易用于手糊的濕法成型層壓制件上,亦可用于粘合。因其在高溫下有特好的電性能,故廣泛地應用于高級電機工業上和軍工的特需部門,是一種耐熱性極好、強度極高的塑料。 按配方1其凝膠化溫度與凝膠化時間及釋熱情況關系如圖3-4,由此認為膠化溫度應控制在100℃以下為宜。然后再逐步升溫固化。按配方1在50℃下的放置時間約4天,見圖3-5。
如果酸酐用量比例越高,則熔點越低,在不高的溫度下(40℃)即可成為液體,此液體的使用期能保持1個星期以上。 如改用其他各種多元醇,對于撓曲溫度和質量損失的影響如表3-4所示。 對于不飽和酸酐,如順丁烯二酸酐其固化機理是極復雜的,從圖3-6來看,160℃固化4h幾乎羧酸完全反應了,然而耐熱溫度只在高溫固化后才能提高,可能反應還需按如下反應進行
適用于澆鑄、層壓(濕法)及黏合的其他配方如下。
其200℃固化后軟化溫度在230℃。 配方4
混合物加熱至80℃保持4h,再100℃固化1h形成凝膠化,然后160℃保持6h,即得到一個難熔的熱形變溫度為264℃的樹脂,布氏硬度為57.其玻璃鋼制品具有優良撓曲強度,室溫時為515MPa,360℃時為325MPa。
KOH質量分數為0.04%(乙醇為溶劑)120℃時得一均勻熔體,在160℃固化11h,前5h形成凝膠化,得到不熔樹脂其熱扭變溫度為196℃,布氏硬度46。 其固化催化劑除芐基二甲胺、四氯化錫外,還有二乙基鋅一醇系化合物[m(二乙基鋅):m(醇)=1.0~2.0為宜,且用一級醇為好]。 固化催化劑還可應用無機酸和堿,各類催化劑與凝膠化時間的關系如表3-5。
其中以氫氧化鉀、氯化鋅、氯化錫催化作用最強,如果有多元醇存在則作用更猛烈,可大大加速固化的完成。 (2)B階段樹脂生產 B階段樹脂是部分固化易熔的樹脂,有多方面的重要用途,做成B階段樹脂溶液,特別適用于干法成型的層壓制件,也可作涂料,黏合劑,固體粉碎后作粉末涂料、壓塑粉,且塑化前具很長的使用期。 按配方1在25℃下保存,圖3-7指出1~2個月后其羧基含量降到原來35%~40%,而1年后降到23%,這樹脂就是B階段樹脂,加熱易熔,一般因生產B階段樹脂時放熱很大,必須在惰性溶劑中反應。
前四者加在一起,攪拌下維持甲苯回流溫度約在125~130℃,固化反應熱漸漸由甲苯帶走,5h后反應液冷至50℃再加進丙酮沖稀,此B階段樹脂含羧值約為原來的35%,黏度大約在0.15Pa·s,其穩定期約6個月以上。 固體B階段樹脂的配方,一般是將Unox 207和多元酸酐或羧酸混合[每環氧當量用酸酐當量(或羧酸當量)0.2~0.27]在50~200℃熔化均勻并凝膠化,然后研碎即得,可用于涂料、澆鑄、模塑、黏合、層壓制品等。使用時再加進0.01%~5%(以二氧化物計)無機酸或路易斯酸或金屬鹵化物等催化劑,然后在50~200℃加熱固化成型。 配方7是用環戊四甲酸酐為固化劑的B階段樹脂。 配方7
在165℃攪拌下固化15min即得B階段樹脂,可用于涂料及層壓制品。 配方8是用均苯四甲酸酐和多元醇組成的B階段樹脂,能用于作層壓制品、黏合劑及涂料。 配方8
預制固化劑A: 在N2氣流下回流5h得到含55%(質量分數)加成物的A,保持干凈冷至室溫,結構如下:
加成物用量計算同均苯四甲酸酐。 B階段樹脂:
在82.5℃固化25min即成B階段樹脂(液體)。 其干法層壓制品性能見表3-6。 (3)涂料方面的應用用二環氧化合物與不飽和脂肪酸如失水蓖麻油酸、亞麻仁油酸、大豆油酸、桐油酸等。縮合制得含部分環氧基的產物,然后在催化劑BF3,SnCl4作用下固化,其得到的漆膜具最卓越的耐紫外光性(比聚酯一類漆膜好),最好的耐堿腐蝕性(比老環氧縮水甘油醚類好),同時有良好的硬度和韌性。
Unox 207用于涂料方面配方如下,供作參考。 配方9 第一步: Unox 201 1mol 失水蓖麻油酸或其他不飽和脂肪酸0.85~1mol 在180℃反應1h。 第二步: 加入二甲苯 200%~250% 若加入催化劑BF3醚鹽(0.1%~1%),20~40℃反應1h 若加入催化劑SnCl4(0.1%~1%),則需80~110℃反應1~2h 得到的清漆在使用時可用干燥劑環烷酸鈷或鉛鹽,用空氣干燥或160℃干燥。 (4)改性方面應用改性的目的在于簡化Unox 207樹脂固化的步驟,改善脆性和減少在長期使用下的質量損失,但改性后熱形變溫度及強度有所下降。 ①Unox 207用乙烯基單體改性乙烯基單體如苯乙烯、醋酸乙烯、甲基丙烯酸甲酯,亦可用不飽和二元酸和二元醇制得的部分交聯的不飽和聚酯。 現舉苯乙烯改性配方: 配方10
先將前三物在80℃熔解均勻,然后冷至35℃加入苯乙烯和過氧化苯甲酰,先在50℃下凝膠化40min,然后即可升溫至140℃固化。 酸酐和苯乙烯摩爾用量一樣,對于每環氧當量樹脂來說用0.4mol為宜,見圖3-8。 配方1與配方10(加苯乙烯)其熱穩定性比較見圖3-9。 由此可知加了苯乙烯單體后,Unox 207熱穩定性得到了顯著的改進。配方2與雙酚A環氧樹脂混用:按配方8所得到的層壓制品其在樹脂23℃,260℃下撓曲強度和模量都要比按同樣配方的雙酚A環氧樹脂Epon 828高得多,但其缺點是260℃,500h后層壓制品強度上有顯著降低,但若按配方8 Unox 207與雙酚A環氧樹脂摻用,如Epon828/Unox 207用量為50/50,75/25 時大大彌補了Unox 207的缺點,在260℃使用1000h后層壓制品撓曲強度仍有137.8MPa,熱穩定性大為提高(質量損失減少見表3-6,圖3-10)且不少性能方面超過了雙酚A環氧樹脂。加成物層壓制品性能見表3-7。
②其他將順丁烯二酸酐用乙烯類單體共聚,形成順丁烯二酸酐的同系共聚物,再用于固化,改性Unox 207樹脂亦很好。 另外Unox 207也可用于老環氧樹脂做稀釋劑,改進其性能,也可摻用于聚酯中,改進后的聚酯的耐紫外光性好。 (5)金屬塑料 B階段樹脂還可加入75%的鋁粉,樹脂因有酸酐存在,與金屬有極大的親和力,此時塑料像金屬一樣,這種塑料具有延展性,很大的抗沖能力,由于B階段樹脂的穩定性,可作擠出成型的各種模具。 |

























