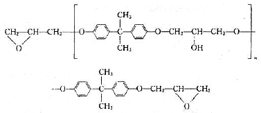
工業中廣泛應用的環氧樹脂系由環氧氯丙烷和雙酚A在堿作用下縮聚反應而制得的。其通式如下:
n為聚合度,[ ]n結構式是重復的鏈節單元。雙酚A型環氧樹脂的分子量從理論上的最小分子量340直到7000范圍。 它不像環氧化合物有一個固定的分子量,僅有平均分子量,環氧樹脂是由多種聚合度的預聚體組成的混合物,分子量具有多分散性。平均分子量相同的樹脂其分子量分布可能有很大的差別。分子量分布與加工性、固化產物的機械強度等密切相關,因此通過對環氧樹脂分子量分布的研究和控制以穩定和改進產品質量是一個重要的課題。 對于某一型號某一牌號的環氧樹脂產品來說,即使有環氧值,羥基當量、數均分子量( 一、 GPC法測定分子量分布 張泉福系統地評述了高效液相色譜(HPLC)和凝膠色譜(GPC)法研究環氧樹脂的分子量分布的各種方法。HPLC法以官能團分離為基礎,適用于分離各個環氧齊聚物、混合物的分析; GPC法以分子量大小分離為基礎,適用于樹脂批次間的質量分析。 由于GPC法結合了液相色譜發展中的三項新成就———高壓溶劑輸液系統、無隔膜定量管進樣及高效微粒凝膠的出現,開創了聚合物分子量分布測定的新時代。Dark等報道了用Waters公司的μ-styragel凝膠柱,當以800極/分柱效下,可在15min內取得MWD結果,而且譜圖重復性好到足可與原始標準譜圖作疊加比較, Batzer等用GPC法研究了環氧樹脂的分子量分布,該工作中對分子量小于1000的環氧樹脂用長120cm、內徑2.54cm的Biorad SX-2柱上作高分辨GPC測定,溶劑為THF,流速為0.3ml/min,用Beck-mann UV分光光度計1mm池程于277nm波長下作檢測。在GPC曲線定量分析中,測量單體、二環氧化物和分子量分別為1500和6000的二個環氧聚合物的消光系數,作出消光系數隨齊聚物齊聚個數變化的校正曲線。色譜柱的標定曲線以下式 Mk=340+284k+72k(k=0,1,2…) 求得各齊聚物峰的分子量作為縱軸(式中72k項為對含羥基溶質分子和THF溶劑( Ka=(Ve-Vo)/(Vm-Vo) (Ve為峰淋洗體積,Vo為粒間體積和Vm為雙酚A二縮水甘油醚的淋洗體積)。該工作對分子量高于1000的環氧樹脂用104、103styragel柱加二根Biorad SX-2柱(每根長100cm、內直徑0.9mm)以THF作溶劑,Waterc·R4示差折光儀作檢測,于22℃下作GPC測定,柱系的標定對高分子量范圍以窄分布聚苯乙烯(PS)標樣作標定,而低分子量范圍則以環氧各聚合物峰結合于標定曲線中,根據式 r02=AM 將分子量M換算成未擾末端鏈長r0,對聚苯乙烯A=0.735,對雙酚A和環氧氯丙烷制得的環氧樹脂A=1.1。以log10(r0)2對Kd作圖,求得標定曲線。在GPC曲線的數據處理中未對折光率隨齊聚物各聚合數的變化作校正。
Kuzae B報道了用GPC法研究雙酚A型環氧樹脂的MWD。在Waters上配以20nm和50nm和100nm的satyragel柱,THF作淋洗劑,流速1ml/min,25℃下進行色譜分析,進擠量0.1%~0.2%×1ml。該體系對低分子量區能取得滿意分離。該作者測定了原蘇聯生產的環氧樹脂的分子量參數,并與其他環氧樹脂樣品的MWD作了對比,發現環氧樹脂分子的保留體積對端基類型的依賴性很強,由此認為可用GPC法來測定含環氧齊聚物在官能團類型方面的分布。 波蘭的Samay等也曾用GPC法研究了雙酚A型環氧樹脂的分子量,為了精確定量,解釋譜圖,數據處理相當復雜,需用一臺模擬數字計算機將GPC曲線解析成各成分峰,有人已介紹了幾種通用程序,美國Waters M730數據處理機配有GPC數據處理軟件。
張泉福曾用高效GPC鑒定了國產618、634、601、604、607和609,日本產EPICION850、EPICION855、EPICION1050、EPICION4050和EPICION7050以及美國產EPON661、EPON6101、EPON1004和EPON1009等15種雙酚A型環氧樹脂的MWD(圖4-20,圖4-21),以環氧齊聚物峰作標定,以K=0的齊聚物作內標,測得各分布參數Mn、Mw和分散度d的變異系數分別<4.8%、3.8%和3.3%,并且給出了累積質量分布結果及分子量高、中、低3個范圍內的分布參數值及百分含量。由GPC法測得的 二、GPC法研究環氧樹脂的分子結構 Rogers用核磁共振波譜法(NMR)和GPC技術結合研究了雙酚A二縮水甘油醚為基礎的一系列環氧樹脂的結構,根據NMR法求得環氧樹脂的支比度,用GPC法求得分子大小,由此得到環氧樹脂結構上的支化度與分子體積的關系。發現輕度支化分子的分子體積與同樣分子量的線型分子的分子體積之比與它們的鏈的最大平均尺寸之比的平方根成正比,當鏈支化度高時,則與鏈的最大平均尺寸的3/2次方成正比。該工作中用Waters 200型GPC儀,105nm、104nm、103nm、102nm、10nm孔徑的5根styragel柱,135℃下以三氯苯作洗提,進樣量0.75W/W溶液,樣量7.5mg。柱系用PS、聚乙二醇、高純度雙酚A縮水甘油醚、乙苯、雙酚A、對二甲苯、正十烷和甲醇按“有效碳素”法來標定。 Batzer等也用NMR和GPC研究了環氧樹脂鏈的支化情況。用NMR測定了雙酚A型環氧樹脂側鏈的含量,結果表明,對該工作所考察的環氧樹脂的支化度很小,對Mn處在1500~4000的環氧樹脂,每個分子的支化點數為0.09~0.6。該作者還用GPC法研究了經后期縮水甘油酯化處理(即二步法)的環氧樹脂,證明其中有支化結構。進一步研究表明在環氧氯丙烷對雙酚A比例高的情況下,二步法所得樹脂分子量比一步法的低。用改進的GPC法能對反應中生成的大部分中間體分離,并提出了初步的動力學數據。 Brawn等分別用GPC和薄層色譜(TLC)在制備分析規模上分離表征了一組雙酚A型環氧樹脂齊聚物的前7個,用NMR法鑒定各齊聚物。并確定了消光系數與聚合度的關系。 Dusek用GPC法研究了四官能團二胺和二官能團胺與單環氧樹脂的固化反應。結果表明,在化學計算量的官能團等當比或胺過量下,環氧基與胺基活潑氫的反應是惟一的連續反應。若環氧化物過量,則其生成的羥基逐漸接到環氧基上。GPC測定是用5根PS膠填充柱,THF作溶劑,Waters R403折光儀作檢測器來進行的。對分離不完全的峰用一臺曲線解析器來處理,測定相對誤差為±2%。 Wangl等用GPC法鑒定了用催化劑固化的熱固性環氧樹脂纖維層壓板的微結構,并將由環氧樹脂級分內所見的族分布所預示的交聯結構與復合模量、切變強度等機械性能聯系起來。 Scchulz用GPC法測定了雙酚A與環氧氯丙烷、雙酚A與雙酚A二縮水甘油醚、雙酚A二縮水甘油醚與2,2′,6,6′-四溴雙酚A3種共聚物的組成,并用高分辨質譜儀鑒定了各峰結構,測得了可靠的均聚系列的校正曲線。 |





w

n




