一、耐化學藥品性
選用活潑氫摩爾質量為38g/mol的多元胺加成物作固化劑,取環氧基:活潑氫=1:1(摩爾比),采用五種環氧樹脂分別為:配方10雙配A型環氧樹脂,環氧當量189g/eq,環氧官能度1.8;配方20酚醛環氧樹脂,環氧當量175g/eq,環氧官能度2.2;配方30線型酚醛環氧樹脂,環氧當量200g/eq,環氧官能度2.7;配方40對氨基酚環氧樹脂,環氧當量110g/eq,環氧官能度3.0;配方50由雙酚A型環氧樹脂:對氨基酚環氧樹脂=50:50(質量)組成,環氧當量139g/eq,環氧官能度2.5。試驗結果見表1-5。
![]() 由表1-5知,配方40由于環氧官能度高,因而交聯固化涂膜的交聯密度大,耐化學藥品性能突出,但因涂膜內的氨基氮原子易受酸類進攻,則耐酸性差。值得注意的是,只有酚醛環氧樹脂涂膜有稍好的耐酸性和耐甲醇性。
二、防介質滲透性
常見的氣體和液體腐蝕性滲透介質(簡稱介質)對涂膜有較強的滲透能力。環氧樹脂涂膜有優異的防介質滲透能力,快速而準確地預測環氧涂膜的抗介質滲透性,引起人們關注。溶劑的溶解度參數(簡稱溶度參數)與破壞環氧涂膜的關系,水蒸氣和鹽水對環氧涂膜滲透率及涂膜耐水性的研究等,均已報道。
1.配方及滲透量環氧清漆的配方及滲透量見表1-6。
![]() 將配方1~5制得的環氧清漆液倒在預涂稀膠水的120mm×90mm玻璃板上,充分流平,在30~35℃固化24h,固化后的樣板浸泡在30℃水中,經4h后,剝下40~65μm的游離環氧涂膜。
在50mm×50mm×0.1mm銅板上浸涂配方1~6的環氧清漆液,第一次在180℃固化5min,第二次在180℃固化25min,得到40~65μm的固定環氧涂膜。
采用配方6的基料調整固化劑用量,制得不同有效交聯密度的環氧涂膜。
紅外譜圖1-3~圖1-6表明,聚酰胺300#—F-44涂膜固化前,在910cm-1處有環氧基伸展振動吸收峰,固化后,環氧吸收峰消失。在3400cm-1處出現明顯的羥基伸展振動吸收峰;聚酰胺300#—E-44涂膜固化前后也得到同樣結果。其他環氧樹脂涂膜的環氧基全部消失、羥基明顯增加,證明表1-5中的所有環氧清漆涂膜都達到充分完全固化,這里不予重述。
![]() ![]() 游離膜和固定膜經紅外分析,證明涂膜中的環氧基與活潑氫充分交聯固化。
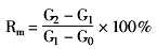
試驗測定介質滲透量的計算式如下:
![]() 式中 Rm——試驗測定介質滲透量,%;
G0——銅板質量,g;
G1——涂有環氧涂膜銅板質量,g;
G2——涂有環氧涂膜銅板被介質浸泡后的質量,g。
2.有效交聯密度環氧樹脂與固化劑交聯固化成網絡結構的涂膜,其交聯密度示意見圖1-7和圖1-8。
![]() ![]() 環氧涂膜的有效交聯密度計算公式如下:
Ρ=F·cw
式中 ρ——環氧涂膜的有效交聯密度,mol/g;
F——每個交聯固化劑分子生成網目數(F=活潑氫數-2);
cw———單位質量涂膜內交聯固化劑的摩爾濃度,mol/g。
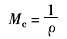
涂膜內交聯點間表觀摩爾質量可表征環氧涂膜交聯點間鏈段長度(或相對分子質量),交聯點間表觀摩爾質量(Mc)計算式如下:
環氧涂膜的ρ定量反映涂膜交聯固化程度,Mc定性反映涂膜交聯固化網絡孔徑大小。由計算和試驗得知,ρ值大(Mc值小)的環氧涂膜,對滲透介質穿透涂膜的抵擋作用強,則滲透介質對環氧涂膜的滲透量(Rm)小;ρ值小(Mc值大)的環氧涂膜,對滲透介質穿透涂膜的抵擋作用弱,則滲透介質對環氧涂膜的滲透量(Rm)大。當把幾種不同ρ值的環氧涂膜浸泡在二甲苯中時,其結果如圖1-9所示。
![]() |









